Hiệu suất máy móc và các mối quan ngại về môi trường liên quan đến máy nén lạnh đã dẫn đến sự phát triển của các chất làm lạnh và dầu làm lạnh mới. Ngành công nghiệp phải thích ứng nhanh chóng với những thay đổi này bằng cách có sẵn các công cụ để thực hiện lựa chọn ổ trục đáng tin cậy – điều kiện tiên quyết cho một thiết kế máy móc mạnh mẽ. Điều này đòi hỏi khả năng dự đoán chính xác độ dày màng và thông số chất lượng bôi trơn kappa. Bài viết này mô tả một kỹ thuật mô hình hóa để thực hiện chính xác điều này.
Việc ước tính chất lượng bôi trơn trong ổ trục lăn của máy nén lạnh luôn là một thách thức do nhiều yếu tố chưa biết, ví dụ, sự pha loãng chất bôi trơn bởi chất làm lạnh, nhiệt độ ổ trục, độ nhớt áp điện của chất làm lạnh và sự thay đổi độ nhớt theo áp suất và nhiệt độ và các tác động hóa học của chất làm lạnh lên rãnh ổ trục. Trong ổ trục lăn, thông số chất lượng bôi trơn kappa được sử dụng. Tuy nhiên, ngay cả khi độ nhớt hiệu dụng của hỗn hợp dầu-chất làm lạnh được biết đến trong một ứng dụng, thì cách cổ điển để tính toán thông số chất lượng bôi trơn ổ trục κ , như được mô tả trong ISO 281:2007 [1], không thể áp dụng được vì phương pháp này giả định độ dày màng bôi trơn trong ổ trục như được tính toán cho dầu. Sự giảm độ nhớt áp điện trong hỗn hợp và sự tăng khả năng nén với sự hiện diện của chất làm lạnh không được xem xét. Do đó, trong quá khứ, một số nhà nghiên cứu đã đề xuất sửa đổi mô hình ban đầu.
Meyers [2, 3] đã giới thiệu các sửa đổi đối với phép tính tham số chất lượng bôi trơn κ trong ổ trục lăn để xem xét các chất làm lạnh pha loãng trong dầu. Sau đó, ông áp dụng tham số này trong ước tính tuổi thọ L 10 cho ổ trục lăn. Tuy nhiên, không có thử nghiệm độ bền nào được trình bày để xác nhận phương pháp luận. Ông cũng đề cập (thông báo nội bộ) rằng BO Jacobson phát hiện ra rằng hàm lượng clo giảm của chất làm lạnh HCFC-22 và sự vắng mặt của clo trong chất làm lạnh HFC-134a làm tăng đáng kể yêu cầu về độ nhớt để bôi trơn ổ trục lăn. Ông ước tính rằng độ nhớt hoạt động cần thiết lớn hơn gấp hai lần đối với ổ trục được bôi trơn bằng hỗn hợp HCFC-22 và dầu khoáng và độ nhớt lớn hơn gấp ba lần đối với hỗn hợp HFC-134a và dầu polyolester (POE) so với ổ trục được bôi trơn bằng dầu khoáng. Lần đầu tiên, hệ số an toàn kỹ thuật do hóa chất làm lạnh (ngoài phép tính đơn giản về độ dày màng) được đưa vào khi tính toán độ nhớt yêu cầu của ổ trục. Mô hình này được tóm tắt trong Meyers, [2].
Trong khi ước tính L 10 vẫn là một thách thức trong ứng dụng này, thì có lẽ đây là ứng cử viên lý tưởng cho mô hình tuổi thọ ổ trục tách biệt rõ ràng bề mặt với bề mặt bên dưới, như trong Morales-Espejel et al. [4]. Tuy nhiên, phương pháp luận được đề xuất trong [4] yêu cầu ước tính độ dày màng chính xác trong tiếp xúc, điều này chỉ có thể thực hiện được nếu có thể ước tính độ nhớt, độ nhớt áp điện và khả năng nén của hỗn hợp. Một số nhà nghiên cứu đã cố gắng phát triển các phương pháp luận cho việc này. Mặc dù đã có tiến bộ, nhưng rất ít ấn phẩm có phương pháp luận kỹ thuật để ước tính độ nhớt hỗn hợp dầu-chất làm lạnh, độ nhớt áp điện, độ dày màng và độ nhớt cần thiết. Công trình hiện tại mô tả một phương pháp luận để đạt được điều này bằng cách áp dụng độc lập sự thay đổi độ nhớt với áp suất và nhiệt độ của dầu và chất làm lạnh. Sau đó, các đặc tính bôi trơn của hỗn hợp được tính toán bằng cách sử dụng các phương trình định luật hỗn hợp đã sửa đổi. Từ đó, có thể tái tạo các biểu đồ Daniel và có thể ước tính độ nhớt cần thiết của ổ trục và thông số chất lượng bôi trơn.
Luật hỗn hợp
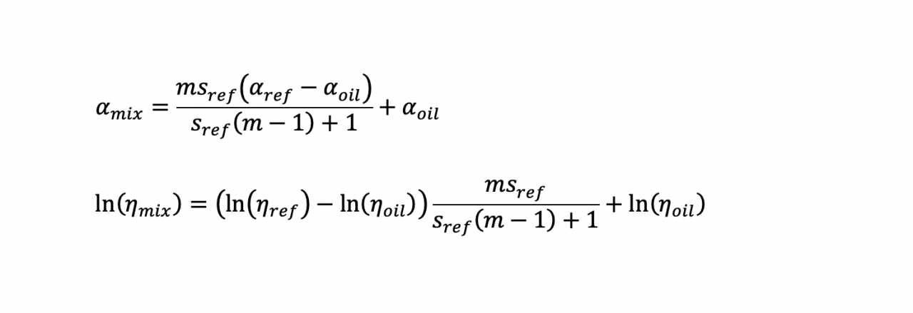
Các mô hình văn học Các nghiên cứu đã được thực hiện trong quá khứ để đo và ước tính độ dày màng trong các tiếp điểm EHL được bôi trơn bằng hỗn hợp dầu-chất làm lạnh. Khi tính toán độ dày màng trong các tiếp điểm EHL được bôi trơn bằng hỗn hợp dầu-chất làm lạnh, việc ước tính các đặc tính của hỗn hợp là một bước trung gian quan trọng. Nhiều phương trình khác nhau đã được đề xuất để ước tính độ nhớt và độ nhớt áp điện của hỗn hợp dầu-chất làm lạnh. Ví dụ, Akei và Mizuhara [5] sử dụng lý thuyết Eyring để suy ra các phương trình cho hệ số độ nhớt áp điện và độ nhớt: 


Mô hình thích nghi
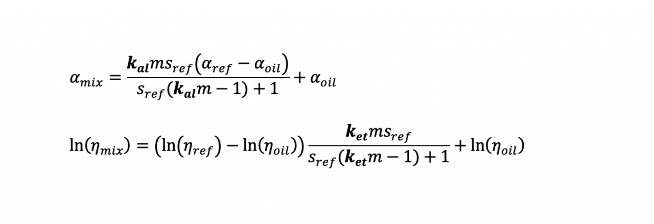
Các phương trình hỗn hợp ban đầu được sửa đổi bằng hai hàm ( k al , k et ) nhân tỷ lệ khối lượng phân tử, như sau:
Các chức năng này được hiệu chuẩn bằng cách sử dụng phép đo độ nhớt của các hỗn hợp dầu-chất làm lạnh khác nhau, do đó các chức năng này phụ thuộc vào độ nhớt của dầu và nhiệt độ làm việc. Do đó,
trong đó, η 0 là độ nhớt động của dầu ở áp suất khí quyển và T là nhiệt độ.
Trong [6], người ta đã chỉ ra rằng với mô hình cải tiến, có thể đạt được sự phù hợp tốt hơn nhiều với các phép đo của hỗn hợp chất làm lạnh HFC-134a và dầu POE 100. Mô hình đã được thử nghiệm với một số kết hợp khác của dầu và chất làm lạnh ở các nhiệt độ và độ pha loãng khác nhau, và sự phù hợp với các phép đo luôn tốt hơn nhiều so với mô hình ban đầu.
Trong công trình này, phương pháp tiếp cận được mô tả được áp dụng cho hỗn hợp chất làm lạnh HFC-134a và dầu POE 170, một sự kết hợp điển hình được sử dụng trong máy nén trục vít làm lạnh (Fuchs Schmierstoffe GmbH [7]). Các đặc tính chất lỏng được xem xét được tóm tắt trong bảng 1. Biểu đồ Daniel cho hỗn hợp này được hiển thị trong hình 2 và được công bố trong tài liệu quảng cáo Fuchs Schmierstoffe GmbH [8].



Chất lượng bôi trơn trong ổ trục lăn
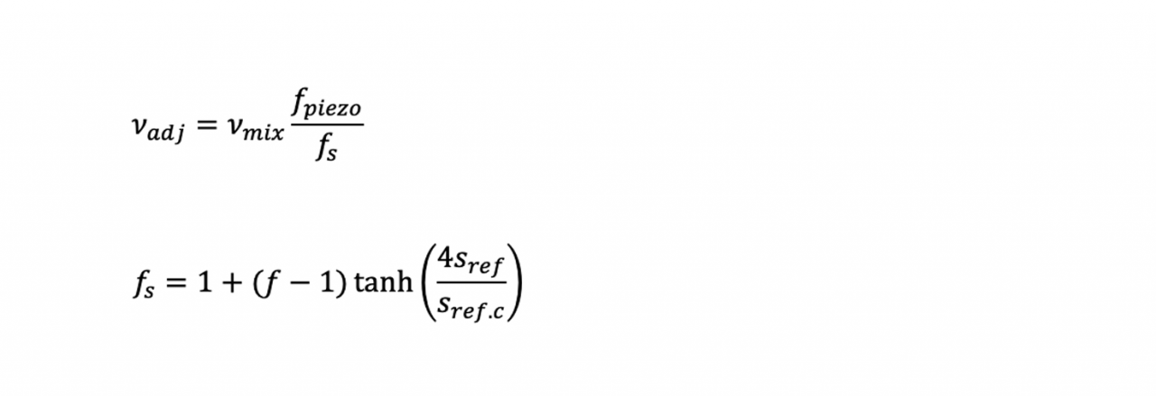
Đối với tham số chất lượng bôi trơn κ của ổ trục lăn được bôi trơn bằng hỗn hợp dầu và chất làm lạnh, một sửa đổi được đề xuất trong [6]. Độ nhớt thực tế đã điều chỉnh cuối cùng của hỗn hợp dầu-chất làm lạnh để tính toán kappa ( κ = ν adj ⁄ ν 1 ), trong đó độ nhớt đã điều chỉnh là:
Và,
Lưu ý rằng về mặt toán học, hệ số điều chỉnh f adj = f piezo / f s không có giới hạn và có thể đạt đến tỷ lệ hỗn hợp 100% chất làm lạnh, nhưng tất nhiên ổ trục toàn thép sẽ không tồn tại được điều này, như đã thảo luận trong [10]. Do đó, vì lý do thực tế, người ta đề xuất giới hạn kỹ thuật bù này ở mức pha loãng tối đa 30% chất làm lạnh ( s tham chiếu <0,3).
Sau đây, chúng tôi xem xét một ví dụ ứng dụng thực tế và chứng minh tiềm năng của phương pháp được mô tả và tác động của hành vi độ nhớt chất bôi trơn đối với các phép tính hệ thống. Chất lượng bôi trơn của ổ trục trong máy nén trục vít của thiết bị điều hòa không khí được phân tích. Bảng 2 tóm tắt các điều kiện vận hành.

Ảnh hưởng của nhiệt độ và pha loãng
Các đặc tính của sự pha loãng so với áp suất và nhiệt độ là cụ thể cho từng hỗn hợp dầu-chất làm lạnh và thông tin này được đưa vào biểu đồ Daniel. Trong ví dụ này, chúng ta sẽ giả định rằng các điều kiện bôi trơn được xác định bởi áp suất xả của máy nén. Tỷ lệ hỗn hợp dầu-chất làm lạnh thu được được xác định trong biểu đồ Daniel bằng giao điểm của đường áp suất (đường đẳng áp) và nhiệt độ. Trong hình 3 (a), thông tin này được trích xuất cho hai áp suất từ biểu đồ Daniel được đưa ra trong hình 2 (a). Đối với hỗn hợp POE 170 và HFC-134a, sự pha loãng dầu bằng chất làm lạnh ở 6 và 8 bar giảm khi nhiệt độ tăng. Trong phạm vi nhiệt độ quan sát được và ở 8 bar, hỗn hợp chứa từ 8% đến 22% chất làm lạnh.
Độ pha loãng ở áp suất và nhiệt độ nhất định là một yếu tố quan trọng ảnh hưởng đến chất lượng bôi trơn của ổ trục và phụ thuộc vào sự kết hợp thực tế của dầu và chất làm lạnh. Các chất làm lạnh có tiềm năng làm nóng toàn cầu (GWP) thấp và tiềm năng làm suy giảm tầng ôzôn (ODP) bằng không thường dẫn đến độ pha loãng cao hơn so với thế hệ chất làm lạnh trước đó, chẳng hạn như HFC-134a.
Vì độ nhớt hỗn hợp (cũng như độ nhớt áp điện) giảm khi pha loãng cao hơn (xem hình 1) và độ nhớt giảm khi nhiệt độ cao hơn (xem hình 2(a)), theo đặc điểm pha loãng và nhiệt độ từ hình 3(a) sẽ dẫn đến sự chồng chất của hai xu hướng đối lập này. Điều này dẫn đến một đặc điểm thú vị hình thành giá trị độ nhớt cực đại trong phạm vi nhiệt độ được xem xét và độ nhớt giảm theo nhiệt độ thấp hơn cũng như cao hơn. Hiệu ứng này cũng được thể hiện trên biểu đồ Daniel khi theo dõi đường đẳng áp. Hình 3(b) cho thấy sự tái tạo độ nhớt hỗn hợp ν hỗn hợp ở 8 bar theo phương trình đã điều chỉnh cho độ nhớt hỗn hợp cũng như độ nhớt (hỗn hợp) đã điều chỉnh ν adj , bao gồm cả sự giảm độ nhớt do hiệu ứng độ nhớt áp điện và hệ số an toàn được đề xuất. Trong suốt ví dụ này, hệ số an toàn Jacobson f bằng 1,5 được sử dụng.
Do kết quả về thông số chất lượng bôi trơn của ổ bi tiếp xúc góc (ACBB) và ổ bi lăn trụ (CRB) trong các điều kiện vận hành đã chọn rất giống nhau nên các biểu đồ sau đây chỉ thể hiện kết quả của ACBB.


Ảnh hưởng của áp suất xả
Tiếp theo, chúng ta lặp lại cùng một đánh giá nhưng giả sử áp suất xả là 6 bar thay vì 8 bar (giữ nguyên tốc độ quay như trước). Hình 3 (a) cho thấy sự giảm pha loãng do áp suất thấp hơn. Trong phạm vi nhiệt độ quan sát được, hàm lượng chất làm lạnh nằm trong khoảng từ 6% đến 15% ở 6 bar.
Hình 4 (b) hiển thị chất lượng bôi trơn cho các điều kiện ở 6 bar. Như biểu đồ Daniel chỉ ra, áp suất thấp hơn dẫn đến độ pha loãng thấp hơn ở cùng nhiệt độ và do đó, làm tăng độ nhớt của hỗn hợp cũng như kappa so với trường hợp 8 bar.


Ảnh hưởng của tốc độ quay
Với sự ra đời của bộ truyền động tốc độ thay đổi (VSD), một chiều bổ sung trong phạm vi hoạt động là tốc độ quay của máy nén. Tốc độ là một thông số quan trọng đối với độ dày màng trong ổ trục của phần tử lăn. Chúng tôi tiếp tục điều kiện trước và vẽ dữ liệu với chiều bổ sung là tốc độ.


Kết luận
Một phương pháp hoàn chỉnh để ước tính tham số chất lượng bôi trơn ổ trục lăn κ đã được mô tả. Đầu tiên, các phương trình luật trộn chính xác cho độ nhớt và độ nhớt áp điện được phát triển. Với các phương trình này, có thể suy ra các biểu đồ Daniel tương ứng nếu không có sẵn. Sau đó, các phương trình này được sử dụng để ước tính độ nhớt của hỗn hợp. Phương pháp này suy ra một hệ số điều chỉnh cho độ nhớt thực tế trong ổ trục khi có hỗn hợp dầu và chất làm lạnh. Hệ số điều chỉnh này khi nhân với độ nhớt hỗn hợp theo phương pháp tính toán bằng dầu sẽ giảm giá trị của nó xuống mức an toàn.
Như đã trình bày trong công trình này, hệ số an toàn Jacobson f để lại một số quyền tự do cho kỹ sư để điều chỉnh độ an toàn của thiết kế theo đuổi, vì vẫn còn một số tác động chưa biết. Một trong số chúng đã được thảo luận trong [10] là tính ăn mòn hóa học của chất làm lạnh đối với thép chịu lực, làm giảm độ bền mỏi của nó do ăn mòn hoặc khả năng bôi trơn kém. Ví dụ, chất làm lạnh có tiềm năng làm nóng toàn cầu (GWP) rất thấp và tiềm năng làm suy giảm tầng ôzôn (ODP) bằng không có thể được coi là chất lỏng có khả năng phản ứng/ăn mòn cao, đặc biệt là khi có hơi ẩm. Trong những trường hợp đó, các kỹ sư được khuyến khích sử dụng f ≥2, nếu không thì 1,5≤ f ≤2 sẽ đủ.
Đối với ứng dụng thực tế, tất cả các thông số ảnh hưởng đến chất lượng bôi trơn của hỗn hợp (ví dụ: nhiệt độ, áp suất, tốc độ quay) sẽ có mối quan hệ với nhau theo chu kỳ hoạt động của thiết bị điều hòa không khí. Theo phương pháp đề xuất, có thể dự đoán chất lượng bôi trơn cho ổ trục cho từng điểm trong bản đồ hoạt động.
Từ phân tích này, có thể rút ra những kết luận sau:
- Các phương trình định luật hỗn hợp dầu-chất làm lạnh có trong tài liệu cần một số hàm thích ứng phụ thuộc vào độ nhớt và nhiệt độ của chất bôi trơn để có thể dự đoán chính xác độ nhớt của hỗn hợp và độ nhớt áp điện.
- Độ nhớt hỗn hợp theo phương pháp tính toán bằng dầu trong ổ trục lăn vẫn cần được điều chỉnh về độ nhớt áp điện và độ an toàn trước khi có thể sử dụng để tính toán chất lượng bôi trơn của ổ trục hoạt động trong điều kiện dầu-chất làm lạnh.
- Hệ số an toàn Jacobson là một biến có thể điều chỉnh để thiết kế ứng dụng. Các chất làm lạnh có phản ứng cao (đặc biệt là khi có độ ẩm) sẽ yêu cầu giá trị lớn hơn của hệ số an toàn này.



