Ngay cả khi quan sát, đo lường và theo dõi cẩn thận, độ mòn của ổ trục lăn vẫn rất khó dự đoán. SKF đã dành nhiều công sức nghiên cứu và phân tích để tìm hiểu về hiện tượng trượt và mài mòn, cũng như ảnh hưởng của chúng đến tuổi thọ ổ trục.
Trong một số ứng dụng, ổ lăn có thể bị hao hụt vật liệu đáng kể (mài mòn) do thiếu bôi trơn, sự hiện diện của các hạt mài mòn, ăn mòn, chuyển động quay dao động và các nguyên nhân khác. Sự mài mòn này có thể gây ra tác động bất lợi đến hoạt động của ổ lăn, từ việc giảm tải trước đến các hậu quả thảm khốc tiềm tàng. Một hậu quả phổ biến và có lẽ không lường trước được của việc mòn không đều ở rãnh lăn ổ lăn là khả năng mỏi bề mặt ngày càng tăng. Trong một số ứng dụng, không hiếm khi thấy các dải bề mặt bị hư hỏng hoặc bong tróc dọc theo rãnh lăn. Điều này liên quan đến khả năng biến dạng rãnh lăn do mòn không đều, có thể dẫn đến tập trung ứng suất ở các đường chịu áp suất cao và độ dày màng thấp hơn.





Mô hình hóa
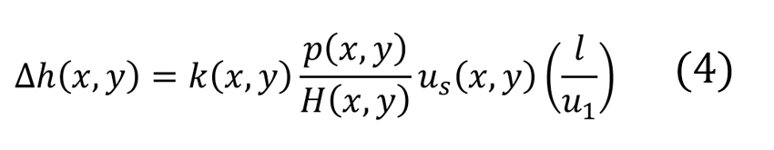
Trong [2], các mô hình mài mòn khác nhau trong điều kiện bôi trơn được thảo luận, và kết luận rằng trong mọi trường hợp, chúng đều có thể được biểu diễn bằng mô hình Archard [3], đôi khi với một mô hình hệ số mài mòn phức tạp. Trong hầu hết các trường hợp, hệ số mài mòn là một hệ số thực nghiệm dựa trên các thí nghiệm. Do đó, phương trình mài mòn tổng quát nhất là:

V = thể tích hao mòn [m 3 ] trong một thời gian nhất định,
F = lực tiếp xúc [N],
H = độ cứng vật liệu bề mặt hiện tại [Pa],
s = khoảng cách trượt [m] trong một thời gian nhất định.Thể tích hao mòn có thể được biểu thị như sau:

h = độ dày lớp bề mặt bị loại bỏ [m] trong một thời gian nhất định,
A s = diện tích trượt [m 2 ] trong một thời gian nhất định.Do đó, thay (2) vào (1) và xét rằng áp suất tiếp xúc trung bình



u s = tốc độ trượt cục bộ [m/s]
u 1 = tốc độ trung bình của bề mặt được phân tích [m/s]
l = chiều dài tiếp xúc theo hướng trượt [m].Lưu ý rằng hầu hết các đại lượng đều là đại lượng cục bộ ( x,y ). Ở đây, độ cứng của thép trong rãnh lăn và các bộ phận lăn cũng được coi là không đổi. Phương trình (4) cho biết độ dày cục bộ của lớp mòn bị loại bỏ tại mỗi lần lăn quá mức trong tiếp xúc ổ trục.
Mô hình hóa sự tương tác mài mòn-mỏi
Để mô hình hóa tương tác mài mòn/mỏi trong ổ trục, cần áp dụng mô hình mỏi tiếp xúc lăn (RCF) tại mỗi lần lăn quá mức của rãnh lăn với biên dạng đã được sửa đổi trước đó (trên cả hai bề mặt) do mài mòn; theo cách này, cả hai hiện tượng (mài mòn và mỏi) đều tương tác với nhau. Mỗi khi mài mòn làm thay đổi biên dạng, cần tính toán phân bố áp suất mới tại điểm tiếp xúc cho mô hình mỏi. Quá trình này phản ánh những gì xảy ra trong thực tế. Tuy nhiên, về mặt tính toán, nó rất tốn kém, vì tuổi thọ RCF thông thường có thể bao gồm hàng triệu lần lăn quá mức. Do đó, có những cách đơn giản hóa giúp giảm đáng kể chi phí tính toán:
- Áp dụng phép tính tiếp xúc khô thay vì giải pháp bôi trơn thủy động lực học đàn hồi (EHL) đầy đủ, trong trường hợp này tránh giải pháp cho vấn đề bôi trơn bằng cách chỉ xem xét hệ số ma sát cố định (đã đo).
- Cập nhật cấu hình do hao mòn sau mỗi một số lần lăn nhất định, thay vì cập nhật sau mỗi lần lăn.
- Điểm số (2) cũng có hệ quả là việc cập nhật phép tính tiếp xúc và phép tính hư hỏng (mỏi) cũng có thể được thực hiện cùng lúc với việc cập nhật hồ sơ theo độ mòn, thay vì tại mỗi lần lăn quá mức.
Lưu đồ dòng chảy của Hình 5 tóm tắt quy trình tính toán. Lưu ý rằng trong trường hợp này, tiêu chí mỏi của Đặng Văn [4] được sử dụng và tích lũy thiệt hại được thực hiện theo định luật tuyến tính của Palmgren-Miner [5,6]. Tuy nhiên, bất kỳ tiêu chí mỏi và tải trọng tích lũy thiệt hại nào khác đều có thể được sử dụng, nếu các thí nghiệm cho thấy điều đó.

Thí nghiệm
Để xác nhận mô hình mỏi, một thử nghiệm độ bền đã được tiến hành bằng cách sử dụng ổ trục con lăn chặn hình trụ 81107 TN (hình 6a), chịu tải dọc trục với C/P = 6,5 và điều kiện bôi trơn được đưa ra bởi a ≈ 0,5.
Trước khi thử nghiệm, một hồ sơ nhân tạo (hình 6b) đã được thực hiện trên các ổ trục mới, như thể chúng đã hoạt động trong điều kiện mài mòn nặng. Trong quá trình thử nghiệm, một số ổ trục đã bị hỏng, chủ yếu do hư hỏng con lăn (hình 6c), do đó mô hình tuổi thọ có thể được so sánh với kết quả từ thử nghiệm ngắn. Chính xác là các con lăn bị mòn và vòng đệm mới đã được xem xét trong mô hình của hình 5; kết quả cho thấy sự phù hợp rất tốt với giới hạn dưới của tuổi thọ L10 đo được , có tính đến thống kê Weibull.

Kết quả
Trong ổ trục con lăn trụ đẩy, độ trượt thay đổi tuyến tính (giảm dần) từ hai cạnh của con lăn về phía đường bước, tại đó độ trượt bằng 0 (hình 7). Về phía đường kính ngoài của ổ trục, con lăn sẽ là bề mặt nhanh nhất, và về phía đường kính trong, nó sẽ là bề mặt chậm nhất. Để minh họa các tác động đồng thời của mài mòn và mỏi trong ổ trục lăn có độ trượt thay đổi trên rãnh lăn, một trường hợp ổ trục con lăn đẩy khác được xem xét với ổ trục lớn hơn (81212 TN), như được mô tả trong dữ liệu của Bảng 1.


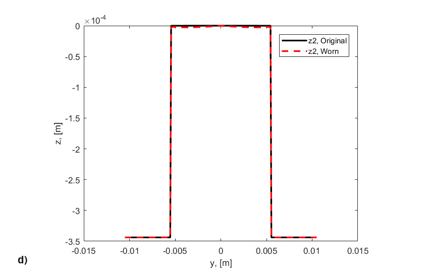
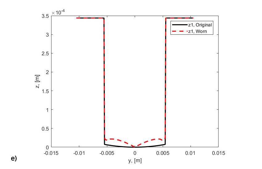
Kết quả mô phỏng được thể hiện ở hình 8. Hình hiển thị:
- áp suất không có thứ nguyên,
- ứng suất cắt von Mises,
- bản đồ thiệt hại,
- các cấu hình con lăn và vòng đệm ban đầu,
- các biên dạng con lăn và vòng đệm bị mòn, tương ứng với bước thời gian kết thúc mô phỏng.
Cần lưu ý rằng bản đồ hư hỏng đạt giá trị hư hỏng tổng thể lớn hơn 1 (ngưỡng khởi tạo vết nứt) chỉ sau 31 triệu lần lăn đè. Kết quả hiển thị trong hình 8 liên quan đến các bước mô phỏng ban đầu và cuối cùng. Áp suất ban đầu (hình 8a) trong lần lăn đè đầu tiên trông ít nhiều giống Hertz, nhưng cho thấy một số hiệu ứng ứng suất cạnh do sử dụng biên dạng con lăn thẳng đơn giản, thay vì con lăn định hình chính xác để tránh các ứng suất cạnh đó. Từ kết quả, rõ ràng là độ trượt bằng 0 tại đường biên; ngoài ra, phần mô hình mài mòn Archard của mô phỏng cho thấy không có mài mòn tại vị trí đó.
Thật vậy, sự mài mòn có liên quan đến sự phân bố trượt trên toàn bộ rãnh lăn. Do đó, sự mài mòn sẽ diễn ra với tốc độ tăng lên khi di chuyển ra xa đường lăn của rãnh lăn. Lưu ý rằng ban đầu áp suất tiếp xúc gần như hình chữ nhật (hình 8a), nhưng khi vật liệu được loại bỏ khỏi hai bên tiếp xúc lăn, áp suất giảm ở các vùng trượt cao và tăng mạnh và tập trung ở vùng không trượt (đường lăn), (hình 8b). Áp suất tăng này tạo ra ứng suất cao và mỏi ở tốc độ nhanh hơn cho đến khi phá hủy phát triển ở giữa con lăn (hình 8c). Hiệu ứng đồng thời và song song của sự mài mòn và mỏi thực sự có thể đẩy nhanh quá trình bong tróc RCF của tiếp xúc. Sự bong tróc mỏi tăng tốc này không liên quan đến ứng suất ma sát do trượt gây ra, mà là kết quả của việc sửa đổi biên dạng ban đầu của các vật thể lăn (hình 8d và 8e) dẫn đến ứng suất tiếp xúc tăng mạnh và độ dày màng cục bộ thấp hơn.


![Bản đồ thiệt hại Palmgren-Miner sau khi mô phỏng cho cùng ví dụ của Bảng 1 với hệ số hao mòn =0,5x10-11 [giây] wear and surface fatigue in rolling bearings fig8c 1](https://idmarket.vn/wp-content/uploads/2025/09/wear-and-surface-fatigue-in-rolling-bearings-fig8c-1.jpg)


Kết luận
Từ mô hình hóa các tác động đồng thời của mài mòn và RCF, người ta thấy rằng trượt có thể trở thành một yếu tố quan trọng làm tăng hư hỏng mỏi của ổ trục. Điều này đòi hỏi sự hiện diện của các hạt mài mòn và/hoặc điều kiện bôi trơn rất kém trong ổ trục. Sự phân bố trượt không đồng đều trong tiếp xúc Hertzian cũng góp phần vào sự phát triển của các điểm ứng suất làm giảm đáng kể tuổi thọ mỏi của ổ trục. Thật vậy, đây dường như là cơ chế quan trọng nhất mà theo đó trượt Hertzian cuối cùng có thể làm giảm tuổi thọ RCF của ổ trục.
Để giảm thiểu rủi ro này, chúng tôi đưa ra những khuyến nghị sau:
- Đảm bảo luôn có đủ chất bôi trơn trong ổ trục, đặc biệt là đối với ổ trục cỡ lớn có tốc độ quay hoặc dao động chậm, ổ trục có nhiều hạt mài mòn hoặc ổ trục dễ bị ăn mòn.
- Tối ưu hóa các giải pháp bịt kín; cuối cùng sử dụng ổ trục kín/có chắn.
- Giảm thiểu ô nhiễm rắn và lỏng càng nhiều càng tốt.
- Tránh tải trọng va đập và rung động có thể làm tăng đáng kể điều kiện trượt danh nghĩa trong ổ trục.
- Trong trường hợp vòng bi kích thước lớn, nếu phát hiện kịp thời hiện tượng mài mòn không đều, việc tái sản xuất có thể là một khía cạnh cần cân nhắc để giảm chi phí.
![]() |
Ứng dụng SKF AuthenticateCó hai cách để kiểm tra tính xác thực bằng ứng dụng SKF Authenticate,
Tải xuống ứng dụng SKF Authenticate NGAY BÂY GIỜ trên App Store hoặc Google Play miễn phí bằng cách nhấp vào liên kết có liên quan hoặc quét mã dưới đây.
|
